Zeitabhängige Prozesse beschreiben normalerweise
den Verlauf von 'stetigen' Analogwerten mit der 'kontinuirlichen' Zeit.
Digitale Elemente, wie Mikro-Prozessoren, -Controller und digitale Schaltkreise
arbeiten 'stufenweise' sowohl im 'Variablenwert' als auch in der Zeit, d.h. sie
führen eine 'stufenweise Quantisierung' der 'zuvor' analogen Werte durch.
Die Zeitquantisierung wird z.B. bei Mikroprozessoren geprägt durch die
Prozessor-Taktzeit und allgemein in digitalen Schaltelementen durch den
angelegten Zeit-Takt. Wie Sie vom Computer her wissen, ist die Genauigkeit von
Variablenwerten von der Bitbreite des digitalisierten Werts abhängig ( 8
Bit, 16 Bit, 32 Bit und mehr). Sie wissen auch, daß die
Rechengeschwindigkeit von der CPU-Taktzeit abhängt. Dies ist die Basis
aller numerischen Näherungen von zeitabhängigen analogen
Vorgängen mit Hilfe der Digitaltechnik. Es ist deshalb einleuchtend,
daß die 'stufenweise Behandlung' von 'zeitstetigen' Vorgängen nur
dann genau genug sein kann, wenn die digitale Taktzeit sehr kurz ist im
Vergleich zur Gesamtzeit des Prozesses ('Eigenzeit'). Das
Shannon-Theorem besagt als Regel, daß die Taktfrequenz mindestens
10 mal höher sei sollte, als die 'schnellste' Frequenz im analogen
Vorgang. Soviel zur 'Zeitquantisierung'. Die 'Amplituden-Quantisierung' und
ihre Genauigkeit dürfte Ihnen im heutigen Zeitalter der Computer
geläufig sein !
| der reale Prozess: irgendwelche 'Potentialgrößen' laufen mit der Zeit ab, - sie könnten experimentell beobachtet werden, oder man weiß (kennt) die Gesetzmäßigkeit des Ablaufs. |
| - |
| man macht sich ein Modell, das beschreibt, wie der Prozess verläuft. |
| Man entwickelt eine 'Bilanzgleichung' oder allgemeiner eine formalmathematische Beschreibung für die betrachteten Variablen (z.B. Temeperatur, Druck, Kraft, Weglänge, Stoff - Bilanz ---> |
| dies führt in den meisten
Fällen zu einer zeitlichen Differentialgleichung der Form: dy/dt = f(y) |
| - |
| man wendet die Methode der 'logistischen Gleichung' an: der Differentialquotient dy/dt wird ersetzt durch den Differenzenquotienten für 'Scheibchen-Zeiten' << 'Prozess-Eigenzeit' |
| - |
| entwickle ein Rechnerprogramm mit in der Zeit zyklischer Struktur ('oncycle') unter Verwendung hierfür geeigneter Software (z.B. HP/Agilent-VEE) |
| - |
| visualisieren in einem Graphen oder Daten abspeichern. |
Diese Methode ist sozusagen die Umkehr des
Übergangs vom Differenzenquotienten zum Differentialquotienten in der
Mathematik, - d.h. wir gehen zurück vom infinitesimalen Wert dt = 0 zu
sehr kleinen Wert 'delta t' nicht gleich 0, aber eben klein im Vergleich zur
Eigenzeit, - dies ist der Differenzenquotient. Nehmen wir ein einfaches
Beispiel aus der Chemie: die kinetische Gleichung einer einfachen Reaktion 1.
Ordnung:
dc/dt = k*c
ersetzen wir den Differentialquotienten
durch den Differenzenquotienten:
delta(c) / delta (t) = k*c
delta(c)
= k*c*delta(t)
mit: delta(c) = cj+1 - c j ,
wobei j +1 = Index für den 'neuen Zeitschritt-Wert' und j = derjenige
des 'Zeitschritts davor' sein soll.
man erhält
dann:
cj+1 = cj*(k*delta(t) + 1)
Diese
algebraische Gleichung nennt man Logistische Gleichung und mit im
Vergleich zur 'Eigenzeit' sehr kleinen Zeitschritten kann diese Methode stetige
analoge Prozesse recht ordentlich 'annähern'. Digitale Systeme sind
'prädestiniert' für diese Form von Gleichungen, denn sie arbeiten
'von Natur aus' in einer Zeit- und Amplituden-Quantisierung. Das merkt man
auch, wenn man programmiert: Sie müssen für Variablen
Rekursionsschleifen (zum Beispiel in C-Code: i++ = 1 ). Die Werte werden dabei
je Zeitschritt um einen kleinen Betrag in(de-)krementiert. Die Methode der
Logistischen Gleichung wird sehr gut im Buch von Manuel Jakubith,
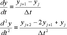
Grundoperationen und chemische Reaktionstechnik (Wiley-CH ) beschrieben. Man
findet dort zum Beispiel für Differentialgleichungen erster und zweiter
Ordnung:
ein weiteres Beispiel: Mechanik, die beschleunigte Bewegung
nehmen Sie die 'browser back' Funktion zur Rückkehr zum vorhergehenden Text oder: