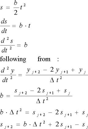
The accelerated movement:

the derivation is:




please realize: here stands the index j+2 for the 'newest' value, j+1 for the previous, and j for the 'previous to previous' value !!!

l

take your browser back for previous text or:

Back to main test page