The different operation modes for heat conduction in chemical reactors
visualized by blackboard sketches
this file is under construction, but nearly ready !!!
I don't apologize for the 'sketch style' - that
is my intention !! there are famous authors who apply this style: look at the
reactor omnibook of O. Levenspiel for example !!
-
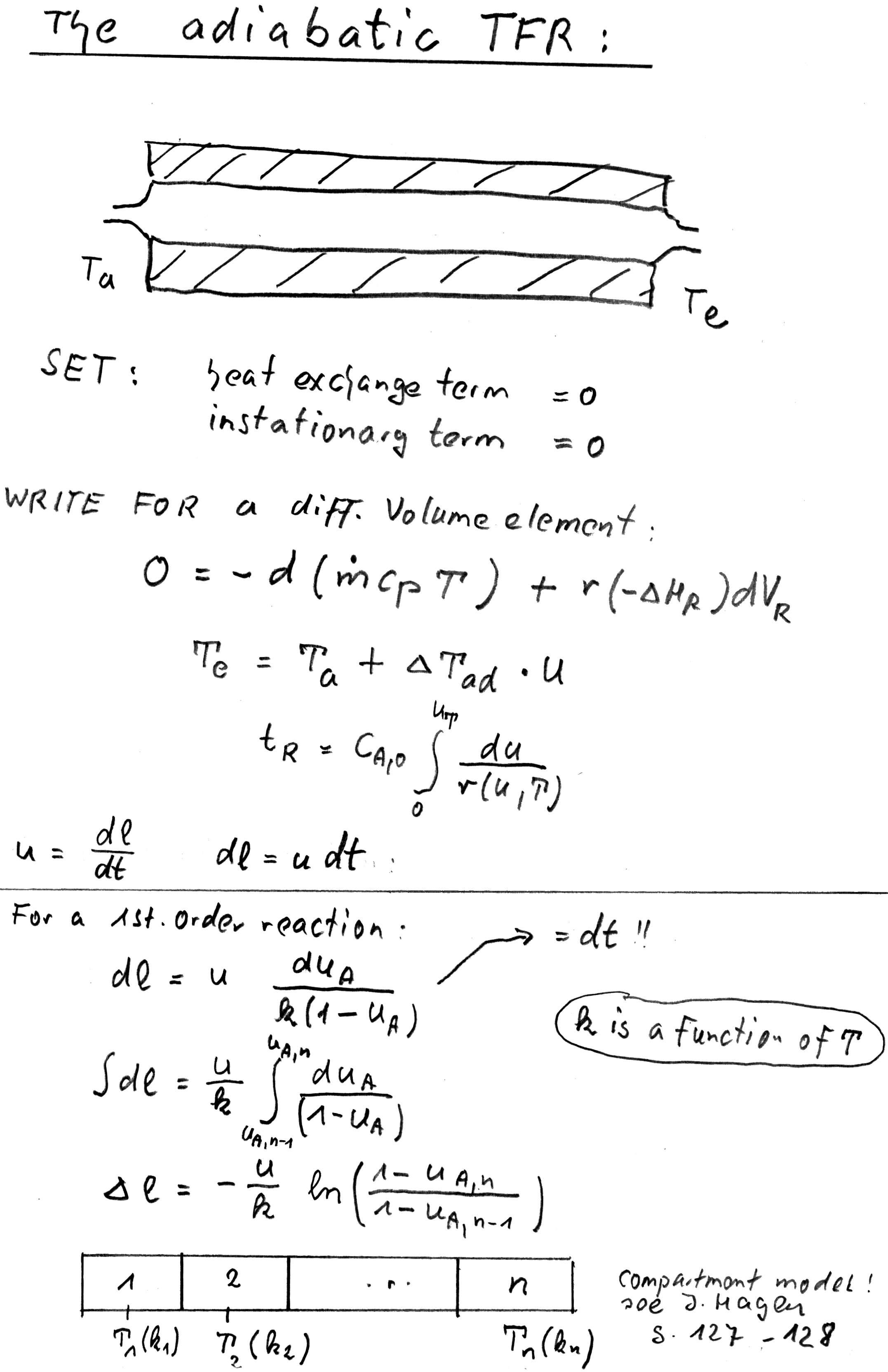
I. adiabatic reactors:
-
1.) the batch STR:

please realize: the T(t)-function is not linear (contrary to the
T(U)-function!!)
-
2.) the ideal TFR:

-
3.) the ideal CSTR:

-
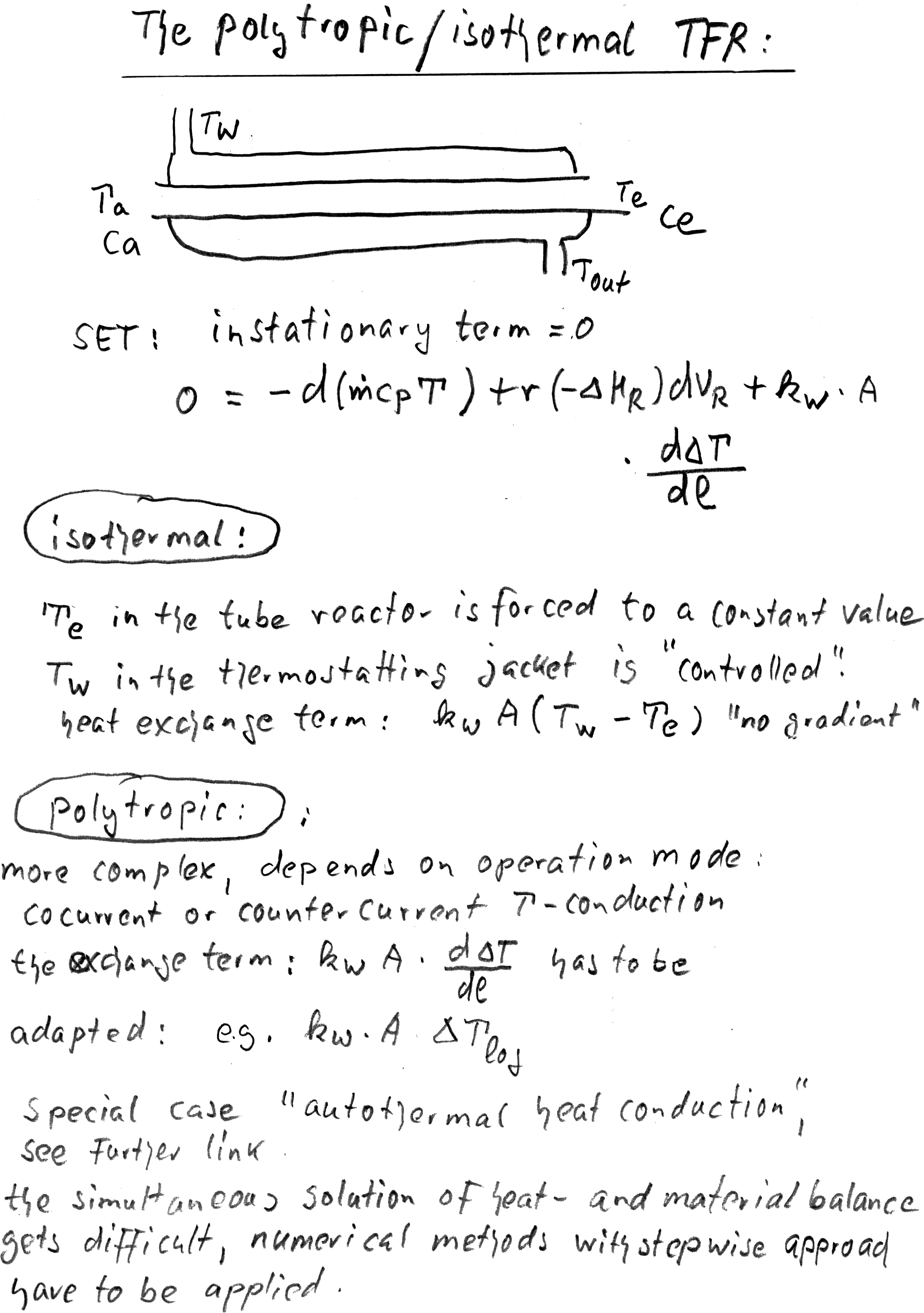
II. not adiabatic reactors:
-
1.) the batch STR:

-
2.) the ideal TFR:

see a slide which
explains the autothermal
process, try to understand the temperature
profiles
-
3.) the ideal CSTR:

take your browser back for previous text or:
to main test page